semoga bermanfaat
Blog ini berisikan materi tentang matematika oleh Pak Mail dengan bahasanya sendiri agar materi matematika ini dapat dipahami dengan mudah oleh pembaca. Semoga dengan adanya blog ini, para pembaca dapat memahami matematika dengan mudah, sehingga dapat memberikan manfaat dan dapat mengubah pola pikir pembaca bahwa "Belajar Matematika Itu Mudah".
MEMFAKTORKAN PERSAMAAN KUADRAT
Sebelum
kita memfaktorkan kita coba kembali menjabarkan perkalian aljabar.
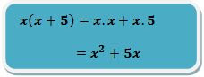
PENJABARAN
PEMFAKTORAN
Bagaimana cara menentukan faktor-faktor dari
bentuk persamaan kuadrat?
Mari
kita pelajari bersama!
Perhatikan contoh berikut!
Faktorkanlah
Perhatikan contoh berikut!
Faktorkanlah
Latihan soal
Faktorkanlah!
BENTUK UMUM PERSAMAAN KUADRAT
Sudah
Mengetahui Bentuk Persamaan Kuadrat satu variabel seperti apa?
Secara
umum persamaan kuadrat satu variabel adalah suatu persamaan yang pangkat
tertingginya dua dan biasanya dituliskan sebagai
MENENTUKA NILAI a, b, dan c PADA PERSAMAAN KUADRAT
Dari bentuk umum berikut ini kita dapat
memperoleh nilai a, b, dan c
Perhatikan contoh berikut ini!
Tentukan nilai a, b, c pada persamaan kuadrat
berikut ini
Untuk Latihan dapat klik link LATIHAN MENENTUKAN NILAI a, b, dan c PADA PERSAMAAN KUADRAT
DOWNLOAD SOAL LATIHAN SOAL PTS MATEMATIKA KELAS IX SEMESTER GASAL 2021/2022
Silahkan download Latihan Soal berikut ini
Link Download
Semoga Sukses Mengerjakan PTS
LATIHAN SOAL PTS
MATEMATIKA KELAS IX
SEMESTER GASAL
TP 2021/2022
Berikut Latihan Soal
Untuk Link Download silahkan klik DOWNLOAD SOAL LATIHAN PTS MATEMATIKA KELAS IX SEMESTER 1 KURIKULUM2013